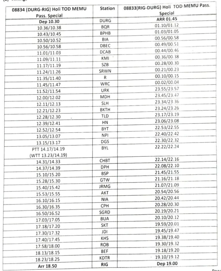
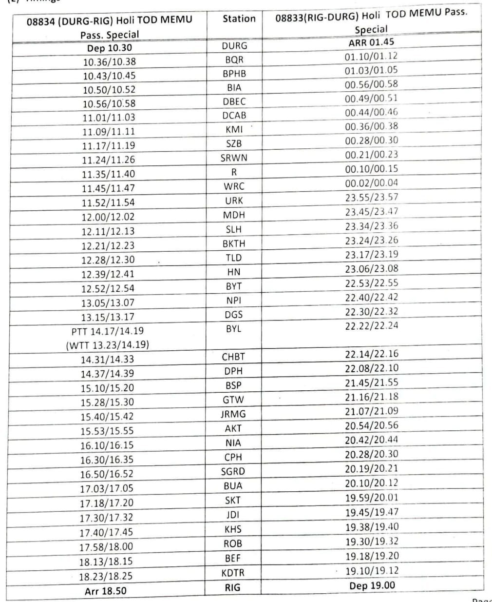
रायपुर, 27 फरवरी (आरएनएस)। दक्षिण पूर्व मध्य रेलवे रायपुर रेल मंडल में होली पर्व के अवसर पर यात्रियों की सुविधा के लिए दिनांक 02, 03, 05 एवं 06 फरवरी 2026 को गाड़ी संख्या 08834/08833 दुर्ग – रायगढ़ – दुर्ग के मध्य 04 फेरे के लिए होली मेमू पैसेंजर स्पेशल ट्रेन की सुविधा दी जा रही हैं । गाड़ी संख्या 08834 दुर्ग रायगढ़ मेमू पैसेंजर गाड़ी दुर्ग से 10:30 बजे रवाना होकर 10:36 बजे भिलाई नगर 10.43 बजे भिलाई पावर हाउस 10:50 बजे भिलाई 10.56 बजे देवबलोदा चरोदा, 11:09बजे कुम्हारी, 11:17 बजे सरोना 11.24 बजे सरस्वती नगर, 11.35 बजे रायपुर 11:45 बजे डब्ल्यूआरएस, 11:52 बजे उरकुरा, 12:00 मांडर,12:11 बजे सिलियारी, 12.21 बजे बैकुंठ 12:28 बजे तिल्दा नेवरा, 12.39 बजे हथबंद, 12:52 बजे भाटापारा, 13.05 बजे निपानिया, 13.15 बजे दागोरी, 13.23 बजे बिल्हा, 14.31 बजे चक्करभाटा 14.37 बजे दाधापारा,15.10 बजे बिलासपुर, 15.28 बजे गतौरा, 15:40 बजे जयरामनगर, 15.53 बजे अकलतरा, 16:10 बजे जांजगीर नैला, 16:30 बजे चांपा, 16:50 सारागांव देवरी, 17:03 बजे बुढार, 17.18 बजे सक्ती, 17:30 जारडीह, 17.40 बजे खरसिया, 17.58 बजे रॉबर्टसन, 18: 13 बजे भूपदेवपुर, 18.23 बजे किरोड़ीमल नगर, 18:50 बजे रायगढ़।
दिनांक 02, 03, 05 एवं 06 फरवरी 2026 को वापसी में गाड़ी संख्या 08833 रायगढ़- दुर्ग मेमू पैसेंजर स्पेशल रायगढ़ से 19:00 रवाना होकर उपरोक्त सभी स्टेशनों पर रुकते हुए बिलासपुर 21.45 बजे एवं रायपुर 00:10 बजे और दुर्ग अगले दिन 01.45 बजे पहुंचेगी।
इस गाड़ी में आठ कर मेमू रैक रहेंगे।
इसकी विस्तृत समय सारणी निम्न अनुसार है:-
०

